Convolutional Error-Control Codes

By Hugo Lyppens

Dr. Dobb's Journal November 1997

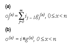
Example 1: (a) Input, output, and connection pattern (g) for a 1/n convolutional encoder; (b) the same relation written as a convolution.

Back to Article


Copyright © 1997, Dr. Dobb's Journal