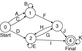
Figure 1: Example state machine.

Back to Article
Copyright © 1999, Dr. Dobb's Journal