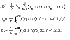
Figure 1: The Fourier Expansion.

Back to Article
Copyright © 1999, Dr. Dobb's Journal