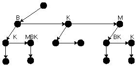
Figure 6: The valid suffix tree built from the multisequence BMBK*BK*.

Back to Article