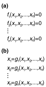
Figure 1: Solving a system of nonlinear equations.

Back to Article